您的位置:对照品 > 标准品 > dr标准品 > |
|
|
|
| 产品基本信息 |
|
| 产品编号:H969950 |
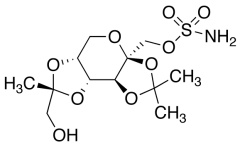
| 产品名称:S-Hydroxy Topiramate |
| 产品CAS:198215-62-2 |
| 规格含量:2mg |
| 产品价格:面议 |
| 联系我们: |
|
|
|
|
|
| 产品详细介绍 |
| 标准品编号: |
H969950 |
| 名称: |
S-Hydroxy Topiramate |
| 别名: |
4,5-O-[(1S)-2-Hydroxy-1-methylethylidene]-2,3-O-(1-methylethylidene)-β-D-fructopyranose 1-Sulfamate; 9-Hydroxy Topiramate |
| CAS号: |
198215-62-2 |
| 分子式: |
C₁₂H₂₁NO₉S |
| 外观: |
Pale Yellow to Pale Beige Solid |
| 熔点: |
110-112˚C |
| 分子量: |
355.36 |
| 储存: |
-20˚C Freezer |
| 溶解度: |
Chloroform (Slightly), DMSO (Slightly), Methanol (Slightly) |
| 种类: |
Standards; Pharmaceutical/API Drug Impurities/Metabolites; |
| 应用: |
A metabolite of Topiramate. |
| 参考文献 |
|
|
|
|
|
|
|
|