欢迎光临:莱耀标准品网!
 您的位置:对照品 > 标准品 > dr标准品 >
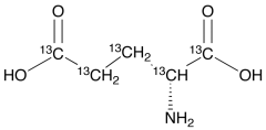
D-Glutamic Acid-13C5
产品基本信息
产品编号:G596967
产品名称:D-Glutamic Acid-13C5
产品CAS:1202063-54-4
规格含量:2.5mg
产品价格:面议
联系我们:
产品详细介绍
标准品编号: G596967
名称: D-Glutamic Acid-13C5
别名: (-)-Glutamic Acid-13C5; (2R)-2-Aminopentanedioic Acid-13C5; (2R)-Glutamic Acid-13C5; (R)-(-)-Glutamic Acid-13C5; (R)-Glutamic Acid-13C5; D-(-)-Glutamic Acid-13C5; NSC 77686-13C5;
CAS号: 1202063-54-4
参考CAS号: Unlabelled: 6893-26-1
分子式: ¹³C₅H₉NO₄
分子量: 152.09
储存: 冰箱
种类: Building Blocks; Amino Acids;
应用: Isotope labelled D-Glutamic Acid (G596965) is the unnatural (R)-enantiomer of Glutamic Acid, a non-essential amino acid. Its salt form (glutamate) is an important neurotransmitter that plays a key role in long-term potentiation and is important for learning and memory. Glutamic Acid is also a key molecule in cellular metabolism.
参考文献


2011-2018 信阳莱耀生物科技有限公司 @ 信阳埃尔文生物科技有限公司版权所有

中检所标准品,对照品,标准气体
Keywords: 中检所标准品 对照品 标准气体