欢迎光临:莱耀标准品网!
 您的位置:对照品 > 标准品 > dr标准品 >
Fireshield C2
产品基本信息
产品编号:F500000
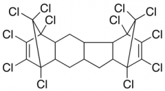
产品名称:Fireshield C2
产品CAS:58910-85-3
规格含量:10mg
产品价格:面议
联系我们:
产品详细介绍
标准品编号: F500000
名称: Fireshield C2
别名: 1,2,3,4,6,7,8,9,12,12,13,13-Dodecachloro-4,4a,4b,5,5a,6,9,9a,10,10a,11,11a-dodecahydro-1,4:6,9-dimethano-1H-benzo[b]fluorene;
CAS号: 58910-85-3
分子式: C₁₉H₁₂Cl₁₂
分子量: 665.73
种类: Standards; Environmental Standards, Mutagens and Metabolites;
应用: Flame Retardant commonly applied to plastics
参考文献


2011-2018 信阳莱耀生物科技有限公司 @ 信阳埃尔文生物科技有限公司版权所有

中检所标准品,对照品,标准气体
Keywords: 中检所标准品 对照品 标准气体