欢迎光临:莱耀标准品网!
 您的位置:对照品 > 标准品 > dr标准品 >
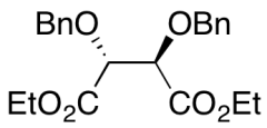
Diethyl 2,3-Bis(benzyloxy) Tartrate
产品基本信息
产品编号:D444855
产品名称:Diethyl 2,3-Bis(benzyloxy) Tartrate
产品CAS:77312-71-1
规格含量:100mg
产品价格:面议
联系我们:
产品详细介绍
标准品编号: D444855
名称: Diethyl 2,3-Bis(benzyloxy) Tartrate
别名: (2R,3R)-2,3-Bis(phenylmethoxy)butanedioic Acid Diethyl Ester; (2R,3R)-2,3-Bis(phenylmethoxy)butanedioic Acid 1,4-Diethyl Ester;
CAS号: 77312-71-1
分子式: C₂₂H₂₆O₆
外观: Yellow Oil
分子量: 386.44
溶解性: DCM, Ethyl Acetate
种类: Standards; Enzyme Activators and Inhibitors; Pharmaceutical/API Drug Impurities/Metabolites;
应用: Diethyl 2,3-Bis(benzyloxy) Tartrate is an protected intermediate in the synthesis of substituents relevant to Dipyridamole (D492625), a selective inhibitor of phosphodiesterase V (PDE 5); potent coronary vasodilator drug; adenosine transport inhibitor; inhibitor of platelet aggregation.
参考文献


2011-2018 信阳莱耀生物科技有限公司 @ 信阳埃尔文生物科技有限公司版权所有

中检所标准品,对照品,标准气体
Keywords: 中检所标准品 对照品 标准气体