您的位置:对照品 > 标准品 > dr标准品 > |
|
|
|
| 产品基本信息 |
|
| 产品编号:D428215 |
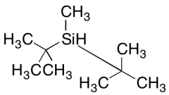
| 产品名称:Di-tert-butylmethylsilane |
| 产品CAS:56310-20-4 |
| 规格含量:500mg |
| 产品价格:面议 |
| 联系我们: |
|
|
|
|
|
| 产品详细介绍 |
| 标准品编号: |
D428215 |
| 名称: |
Di-tert-butylmethylsilane |
| 别名: |
Bis(1,1-dimethylethyl)methylsilane; |
| CAS号: |
56310-20-4 |
| 分子式: |
C₉H₂₂Si |
| 外观: |
Clear Colourless Oil |
| 分子量: |
158.36 |
| 储存: |
冰箱保存 |
| 溶解性: |
Chloroform, Methanol |
| 种类: |
Building Blocks; Miscellaneous; |
| 应用: |
Di-tert-butylmethylsilane is useful in the synthesis of bis(phosphine)(hydrido)(silyl)platinum(II) complex. |
| 参考文献 |
|
|
|
|
|
|