您的位置:对照品 > 标准品 > dr标准品 > |
|
|
|
| 产品基本信息 |
|
| 产品编号:D416786 |
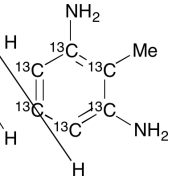
| 产品名称:2,6-Diaminotoluene-13C6 |
| 产品CAS: |
| 规格含量:10mg |
| 产品价格:面议 |
| 联系我们: |
|
|
|
|
|
| 产品详细介绍 |
| 标准品编号: |
D416786 |
| 名称: |
2,6-Diaminotoluene-13C6 |
| 别名: |
2-Methyl-1,3-benzenediamine-13C6; Toluene-2,6-diamine-13C6; 1,3-Diamino-2-methylbenzene-13C6; 2,6-Diamino-1-methylbenzene-13C6; 2,6-Toluylenediamine-13C6; 2,6-Tolylenediamine-13C6; 2-Methyl-1,3-benzenediamine-13C6; 2-Methyl-1,3-phenylenediamine-13C6; 2-Methyl-m-phenylenediamine-13C6; NSC 147490-13C6; |
| 参考CAS号: |
823-40-5 unlabelled |
| 分子式: |
C¹³C₆H₁₀N₂ |
| 外观: |
Gray Solid |
| 熔点: |
99-102°C |
| 分子量: |
128.12 |
| 储存: |
冰箱保存 |
| 溶解性: |
Chloroform (Sparingly), Methanol (Slightly) |
| 种类: |
Standards; Isotopic Labeled Analogues; |
| 应用: |
2,6-Diaminotoluene-13C6 is labelled 2,6-Diaminotoluene which is an aromatic amine likely to have high carcinogenic potency. |
| 危险品: |
Not a dangerous good if item is equal to or less than 1g/ml and there is less than 100g/ml in the package |
| 参考文献 |
|
|
|
|
|
|
|
|