欢迎光临:莱耀标准品网!
 您的位置:对照品 > 标准品 > dr标准品 >
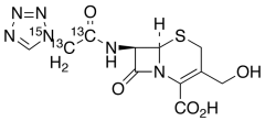
Des[(5-methyl-1,3,4-thiadiazol-2-yl)thio] Cefazolin-3-methanol-13C2,15N
产品基本信息
产品编号:D291712
产品名称:Des[(5-methyl-1,3,4-thiadiazol-2-yl)thio] Cefazolin-3-methanol-13C2,15N
产品CAS:
规格含量:10mg
产品价格:面议
联系我们:
产品详细介绍
标准品编号: D291712
名称: Des[(5-methyl-1,3,4-thiadiazol-2-yl)thio] Cefazolin-3-methanol-13C2,15N
别名: (6R,7R)-3-(Hydroxymethyl)-8-oxo-7-[[2-(1H-tetrazol-1-yl)acetyl]amino]-5-thia-1-azabicyclo[4.2.0]oct-2-ene-2-carboxylic Acid-13C2,15N ;
参考CAS号: 478494-71-2-未标记
分子式: C₉¹³C₂H₁₂N₅¹⁵NO₅S
分子量: 343.29
种类: Building Blocks; Isotopic Labeled Analogues;
应用: Labelled Des[(5-Methyl-1,3,4-thiadiazol-2-yl)thio] Cefazolin-3-methanol is an impurity of Cefazolin (C242500). Cefazolin impurity X3.
参考文献


2011-2018 信阳莱耀生物科技有限公司 @ 信阳埃尔文生物科技有限公司版权所有

中检所标准品,对照品,标准气体
Keywords: 中检所标准品 对照品 标准气体