欢迎光临:莱耀标准品网!
 您的位置:对照品 > 标准品 > dr标准品 >
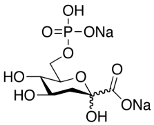
3-Deoxy-D-arabinoheptulosonic Acid 7-Phosphate Disodium Salt
产品基本信息
产品编号:D232050
产品名称:3-Deoxy-D-arabinoheptulosonic Acid 7-Phosphate Disodium Salt
产品CAS:
规格含量:5mg
产品价格:面议
联系我们:
产品详细介绍
标准品编号: D232050
名称: 3-Deoxy-D-arabinoheptulosonic Acid 7-Phosphate Disodium Salt
别名: 3-Deoxy-D-arabino-2-heptulosonic Acid 7-(Dihydrogen Phosphate) Disodium; 3-Deoxy-2-keto-D-glucoheptonic Acid 7-Phosphate Disodium; DAHP Disodium;
参考CAS号: 2627-73-8-free acid
分子式: C₇H₁₁Na₂O₁₀P
外观: Yellow Solid
熔点: >110°C (dec.)
分子量: 332.11
储存: Hygroscopic, -20°C Freezer, Under Inert Atmosphere
溶解性: Water (Slightly)
种类: Standards; Carbohydrates and Oligosaccharides;
应用: It stands at the beginning of the enzyme-catalyzed cascade that starts with this seven-carbon carbohydrate and ends with the aromatic amino acids phenylalanine, tyrosine, and tryptophan.
参考文献


2011-2018 信阳莱耀生物科技有限公司 @ 信阳埃尔文生物科技有限公司版权所有

中检所标准品,对照品,标准气体
Keywords: 中检所标准品 对照品 标准气体