您的位置:对照品 > 标准品 > cato > |
|
|
|
| 产品基本信息 |
|
| 产品编号:C41H66O12 |
| 产品名称:α-常春藤皂苷(α-常春藤皂甙)对照品 |
| 产品CAS:27013-91-8 |
| 规格含量:20mg |
| 产品价格:500 |
| 联系我们: |
|
|
|
|
|
| 产品详细介绍 |
|
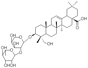
中文名称 |
α-常春藤皂苷照品 |
中文别名 |
α-常春藤皂甙 |
|
英文名 |
α-hederin |
英文别名 |
(3-beta,4-alpha)-nopyranosyl)oxy)-23-hydroxy;akebiasaponinpd |
|
分子式 |
|
C41H66O12 |
分子量 |
750.96 |
CAS登录号 |
27013-91-8 |
|
|
提取来源 |
|
毛莨科植物白头翁Pulsatilla chinensis (Bunge) Regel. |
化学结构 |
|
|
外观 |
|
白色粉末 |
 |
|
NMR; MS |
|
4℃冷藏、密封、避光 |
|
2年 |
|
无 |
|
|
鉴别方法 |
|
贮存条件 |
|
有效期 |
|
注意事项 |
|
溶解性 |
可溶于甲醇、乙腈、乙醇等溶剂,不溶于石油醚。 |
|
测定方法 |
补充中 |
|
药典测定方法 |
补充中 |
|
用途 |
用于含量测定/鉴定/药理实验等 |
|
|
|
|
|