欢迎光临:莱耀标准品网!
 您的位置:对照品 > 标准品 > 英国药典 >
二盐酸曲美他嗪-d8标准品
产品基本信息
产品编号:T795612
产品名称:二盐酸曲美他嗪-d8标准品
产品CAS:
规格含量:1mg,10mg
产品价格:2200元,18000元
联系我们:
产品详细介绍

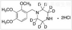
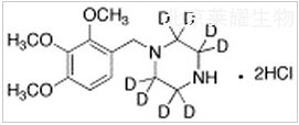
  二盐酸曲美他嗪-d8标准品

  货号:T795612
  英文名称:Trimetazidine-d8 Dihydrochloride
  别名:1-[(2,3,4-Trimethoxy-phenyl)methyl]piperazine-d8 Dihydrochloride; 1-(2,3,4-Trimethoxy-benzyl)piperazine-d8 Dihydrochloride; Kyurinett-d8; Vastarel-d8 F; Yoshimilon-d8;
  规格:1mg,10mg
  结构式:
二盐酸曲美他嗪-d8标准品
  分子式:C14H16D8Cl2N2O3
  分子量:347.31
  产品类别:莱耀生物标准品,北京莱耀生物提供
  注:产品名称以英文名称为准


2011-2018 信阳莱耀生物科技有限公司 @ 信阳埃尔文生物科技有限公司版权所有

中检所标准品,对照品,标准气体
Keywords: 中检所标准品 对照品 标准气体