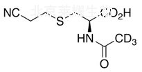
N-Acetyl-S-(2-cyanoethyl)-L-cysteine-d3标准品
货号:A172087
英文名称:N-Acetyl-S-(2-cyanoethyl)-L-cysteine-d3
别名:N-(Acetyl-d3)-S-(2-cyanoethyl)cysteine; S-(2-Cyanoethyl)mercapturic Acid-d3
规格:1mg,10mg
结构图:

CAS号:1260619-59-7
分子式:C₈H₉D₃N₂O₃S
分子量:219.28
产品类别:标准对照品,北京莱耀生物提供
注:产品名称以英文名称为准
|