您的位置:对照品 > 标准品 > 英国药典 > |
|
|
|
| 产品基本信息 |
|
| 产品编号:B286700 |
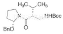
| 产品名称:[1-(2-苄氧基甲基-吡咯烷-1-羰基)-2-甲基-丙基]-氨基甲酸叔丁基酯标准 |
| 产品CAS:1217630-30-2 |
| 规格含量:500mg |
| 产品价格:2500元 |
| 联系我们: |
|
|
|
|
|
| 产品详细介绍 |
[1-(2-Benzyloxymethyl-pyrrolidine-1-carbonyl)-2-methyl-propyl]-carbamic Acid tert-Butyl Ester标准品
货号:B286700
英文名称:[1-(2-Benzyloxymethyl-pyrrolidine-1-carbonyl)-2-methyl-propyl]-carbamic Acid tert-Butyl Ester
规格:500mg
结构图:

CAS:1217630-30-2
分子式:C₂₃H₃₆N₂O₄
分子量:404.54
产品类别:进口标准品,【莱耀生物】提供
注:搜索产品名称、编号、cas号即可显示价格
|
|
|
|
|