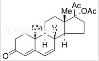
6,7-脱氢-17α-乙酰氧基孕酮标准品
货号:D229090
英文名称:6,7-Dehydro-17α-acetoxy Progesterone
别名:17-(Acetyloxy)pregna-4,6-diene-3,20-dione; 17-Hydroxypregna-4,6-diene-3,20-dione Acetate; 17α-Acetoxypregna-4,6-diene-3,20-dione; 17α-Hydroxy-6- dehydroprogesterone Acetate; Melengestro Acetate; NSC 77897; Pregna-4,6-dien-17-ol-3,20-dione Acetate; ∆6-Dehydro-17α-acetoxyprogesterone;
规格:100mg,1g
结构式:

CAS号:425-51-4
分子式:C23H30O4
分子量:370.48
产品类别:莱耀生物标准品,北京莱耀生物提供
注:产品名称以英文名称为准
|