欢迎光临:莱耀标准品网!
 您的位置:对照品 > 标准品 > 英国药典 >
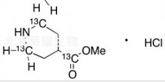
Isonipecotic Acid Methyl Ester-13C3 Hydrochloride
产品基本信息
产品编号:I821813
产品名称:Isonipecotic Acid Methyl Ester-13C3 Hydrochloride
产品CAS:
规格含量:0.5mg,5mg
产品价格:4000元,32000元
联系我们:
产品详细介绍

  盐酸异哌啶酸甲酯-13C3标准品

  货号:I821813
  英文名称:Isonipecotic Acid Methyl Ester-13C3 Hydrochloride
  别名:4-Piperidinecarboxylic Acid Methyl Ester-13C3 Hydrochloride; 4-(Methoxycarbonyl)piperidine-13C3 Hydrochloride; Methyl 4-Piperidinecarboxylate-13C3 Hydrochloride; Methyl Isonipecotate-13C3 Hydrochloride; Methyl Isonipecotinate-13C3 Hydrochloride;
  规格:0.5mg,5mg
  结构式:
盐酸异哌啶酸甲酯-13C3标准品
  分子式:C413C3H14ClNO2
  分子量:182.62
  产品类别:莱耀生物标准品,北京莱耀生物提供
  注:产品名称以英文名称为准


2011-2018 信阳莱耀生物科技有限公司 @ 信阳埃尔文生物科技有限公司版权所有

中检所标准品,对照品,标准气体
Keywords: 中检所标准品 对照品 标准气体