欢迎光临:莱耀标准品网!
 您的位置:对照品 > 标准品 > 英国药典 >
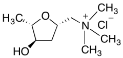
(+)-Muscarine Chloride
产品基本信息
产品编号:M814003
产品名称:(+)-Muscarine Chloride
产品CAS:2303-35-7
规格含量:10mg
产品价格:面议
联系我们:
产品详细介绍
标准品编号: M814003
名称: (+)-Muscarine Chloride
别名: Muscarine Chloride; 2,5-Anhydro-1,4,6-trideoxy-6-(trimethylammonio)-D-ribo-hexitol Chloride; [2S-(2α,4β,5α)]-Tetrahydro-4-hydroxy-N,N,N,5-tetramethyl-2-furanmethanaminium Chloride;
CAS号: 2303-35-7
参考CAS号: Free Form: 300-54-9
分子式: C₉H₂₀ClNO₂
分子量: 209.71
种类: Standards; Pharmaceutical/API Drug Impurities/Metabolites;
应用: (+)-Muscarine Chloride modulates calcium channel currents in rats.
参考文献


2011-2018 信阳莱耀生物科技有限公司 @ 信阳埃尔文生物科技有限公司版权所有

中检所标准品,对照品,标准气体
Keywords: 中检所标准品 对照品 标准气体