欢迎光临:莱耀标准品网!
 您的位置:对照品 > 标准品 > 英国药典 >
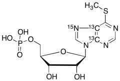
6-Methylthioinosine Monophosphate-13C2,15N
产品基本信息
产品编号:M321044
产品名称:6-Methylthioinosine Monophosphate-13C2,15N
产品CAS:
规格含量:5mg
产品价格:面议
联系我们:
产品详细介绍
标准品编号: M321044
名称: 6-Methylthioinosine Monophosphate-13C2,15N
别名: 6-Methylthiopurine Ribonucleotide-13C2,15N; 6-(Methylthio)-9-(5-O-phosphono-β-D-ribofuranosyl)-9H-purine-13C2,15N; 6-S-Methyl-6-thio-5'-inosinic Acid-13C2,15N; 6-Methylthiopurine Ribonucleoside 5'-phosphate-13C2,15N; 6-MeTIMP-13C2,15N;
参考CAS号: Unlabeled: 7021-52-5
分子式: C₉¹³C₂H₁₅N₃¹⁵NO₇PS
分子量: 381.28
种类: Research Tools; Molecular Biology; Nucleic Acids;
应用: 6-Methylthioinosine Monophosphate-13C2,15N, is a metabolite of 6-Mercaptopurine.
参考文献


2011-2018 信阳莱耀生物科技有限公司 @ 信阳埃尔文生物科技有限公司版权所有

中检所标准品,对照品,标准气体
Keywords: 中检所标准品 对照品 标准气体