您的位置:对照品 > 标准品 > 英国药典 > |
|
|
|
| 产品基本信息 |
|
| 产品编号:L114100 |
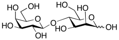
| 产品名称:epi-Lactose |
| 产品CAS:50468-56-9 |
| 规格含量:10mg |
| 产品价格:面议 |
| 联系我们: |
|
|
|
|
|
| 产品详细介绍 |
| 标准品编号: |
L114100 |
| 名称: |
epi-Lactose |
| 别名: |
4-O-β-D-galactopyranosyl-D-mannose; 4-O-β-D-galactopyranosyl-mannose; Epilactose; |
| CAS号: |
50468-56-9 |
| 分子式: |
C₁₂H₂₂O₁₁ |
| 外观: |
白色至白色固体 |
| 熔点: |
>172ºC (dec.) |
| 分子量: |
342.3 |
| 储存: |
Hygroscopic, 冰箱, under inert atmosphere |
| 溶解度: |
Water (Slightly) |
| 稳定性: |
Hygroscopic |
| 种类: |
Building Blocks; Carbohydrates and Oligosaccharides; |
| 应用: |
epi-Lactose is an epimer of Lactose (L114000) and is also known to exhibit prebiotic properties. |
| 参考文献 |
|
|
|
|
|
|
|
|