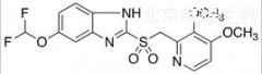
泮托拉唑砜标准品
货号:P183016
英文名称:Pantoprazole Sulfone
别名:5-Difluoromethoxy-2-[[(3,4-dimethoxy)-2-pyridyl]methylsulfonyl]-1H-benzimidazole; USP Pantoprazole Related Compound A;泮托拉唑相关物质A
规格:10mg,100mg
结构式:

CAS号:127780-16-9
分子式:C16H15F2N3O5S
分子量:399.37
产品类别:莱耀生物标准品,北京莱耀生物提供
|