欢迎光临:莱耀标准品网!
 您的位置:对照品 > 标准品 > 英国药典 >
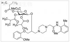
Ranolazine 2,3,4-Tri-O-isobutyryl-β-D-Glucuronide Methyl Ester (mixture of diastereomers)
产品基本信息
产品编号:R122525
产品名称:Ranolazine 2,3,4-Tri-O-isobutyryl-β-D-Glucuronide Methyl Ester (mixture of diastereomers)
产品CAS:
规格含量:1mg,10mg
产品价格:3100元,25000元
联系我们:
产品详细介绍

  Ranolazine 2,3,4-Tri-O-isobutyryl-β-D-Glucuronide Methyl Ester标准品

  货号:R122525
  英文名称:Ranolazine 2,3,4-Tri-O-isobutyryl-β-D-Glucuronide Methyl Ester (mixture of diastereomers)
  规格:1mg,10mg
  结构式:
结构图
  分子式:C43H61N3O13
  分子量:827.96
  产品类别:莱耀生物标准品,北京莱耀生物提供
  注:产品名称以英文名称为准


2011-2018 信阳莱耀生物科技有限公司 @ 信阳埃尔文生物科技有限公司版权所有

中检所标准品,对照品,标准气体
Keywords: 中检所标准品 对照品 标准气体