欢迎光临:莱耀标准品网!
 您的位置:对照品 > 标准品 > 英国药典 >
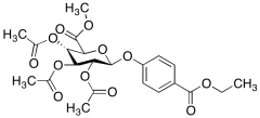
4-(Ethoxycarbonyl)phenyl 2,3,4-Triacetate β-D-Glucopyranosiduronic Acid Methyl Es
产品基本信息
产品编号:E895078
产品名称:4-(Ethoxycarbonyl)phenyl 2,3,4-Triacetate β-D-Glucopyranosiduronic Acid Methyl Es
产品CAS:1376574-24-1
规格含量:25mg
产品价格:面议
联系我们:
产品详细介绍
标准品编号: E895078
名称: 4-(Ethoxycarbonyl)phenyl 2,3,4-Triacetate β-D-Glucopyranosiduronic Acid Methyl Ester
CAS号: 1376574-24-1
分子式: C₂₂H₂₆O₁₂
外观: White /白色固体
分子量: 482.43
储存: Room Temperature
溶解度: Cloroform, Dichloromethane, Metanol
种类: Standards; Miscellaneous;
应用: 4-(Ethoxycarbonyl)phenyl 2,3,4-Triacetate β-D-Glucopyranosiduronic Acid Methyl Ester is an intermediate in the synthesis of p-Salicylic Acid 4-Glucuronide which is an anthocyanin-derived phenolic acid degraded to form 4' glucuronide of 4-hydroxybenzoic acid during simulated gastrointestinal digestion and in human liver microsome.
参考文献


2011-2018 信阳莱耀生物科技有限公司 @ 信阳埃尔文生物科技有限公司版权所有

中检所标准品,对照品,标准气体
Keywords: 中检所标准品 对照品 标准气体