您的位置:对照品 > 标准品 > 英国药典 > |
|
|
|
| 产品基本信息 |
|
| 产品编号:E525015 |
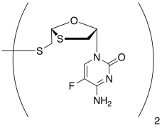
| 产品名称:Emtricitabine 6’-Disulfide |
| 产品CAS: |
| 规格含量:50mg |
| 产品价格:面议 |
| 联系我们: |
|
|
|
|
|
| 产品详细介绍 |
| 标准品编号: |
E525015 |
| 名称: |
Emtricitabine 6’-Disulfide |
| 别名: |
(-)-2’,3’-Dideoxy-5-fluoro-3’-thiacytidine 6’-Disulfide; (-)-2'-Deoxy-5-fluoro-3'-thiacytidine 6’-Disulfide; |
| 分子式: |
C₁₆H₁₈F₂N₆O₄S₄ |
| 外观: |
白色至白色固体 |
| 熔点: |
209-213°C |
| 分子量: |
524.6 |
| 储存: |
冰箱保存, under inert atmosphere |
| 溶解度: |
DMSO (Slightly), Methanol (very Slightly) |
| 种类: |
Standards; Pharmaceutical/API Drug Impurities/Metabolites; |
| 应用: |
An impurity of Emtricitabine synthesis. |
| 参考文献 |
|
|
|
|
|
|