欢迎光临:莱耀标准品网!
 您的位置:对照品 > 标准品 > 英国药典 >
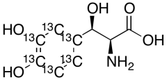
L-threo-Droxidopa-13C6
产品基本信息
产品编号:D689963
产品名称:L-threo-Droxidopa-13C6
产品CAS:
规格含量:1mg
产品价格:面议
联系我们:
产品详细介绍
标准品编号: D689963
名称: L-threo-Droxidopa-13C6
别名: (βR)-β,3-Dihydroxy-L-tyrosine- 13C; threo-β,3-Dihydroxy-L-tyrosine- 13C; L-threo-3-(3,4-Dihydroxyphenyl)serine- 13C; (-)-threo-3,4-Dihydroxyphenylserine-13C; (2S,3R)-3-(3,4-Dihydroxyphenyl)-2-amino-3-hydroxypropanoic Acid- 13C; DOPS- 13C; L-DOPS- 13C; L-Threodops- 13C; L-threo-3,4-Dihydroxyphenylserine- 13C; threo-Dopaserine- 13C;
参考CAS: 23651-95-8
分子式: C₃¹³C₆H₁₁NO₅
分子量: 219.14
种类: Building Blocks; Standards; Chiral Molecules; Pharmaceutical/API Drug Impurities/Metabolites;
应用: Droxidopa-13C6 is a labeled compound of L-threo-Droxidopa (D689960) which is a synthetic amino acid precursor of Norepinephrine (N674500). Antiparkinsonian.
参考文献


2011-2018 信阳莱耀生物科技有限公司 @ 信阳埃尔文生物科技有限公司版权所有

中检所标准品,对照品,标准气体
Keywords: 中检所标准品 对照品 标准气体