香兰素-13C6标准品
货号:V097503
英文名称:Vanillin-13C6
别名:4-Hydroxy-3-methoxybenzaldehyde-13C6; 2-Methoxy-4-formylphenol-13C6; p-Vanillin-13C6; 3-Methoxy-4-hydroxybenzaldehyde-13C6; 4-Formyl-2-methoxy phenol-13C6; 4-Hydroxy-m-anisaldehyde-13C6; H 0264-13C6; Lioxin-13C6; NSC 15351-13C6; NSC 403658-13C6; Rhovanil-13C6; Vanillaldehyde-13C6; Vanillic Aldehyde-13C6;
规格:1mg,10mg
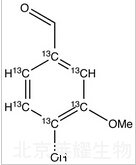
结构式:

CAS号:201595-58-6
分子式:C213C6H8O3
分子量:158.1
产品类别:莱耀生物标准品,北京莱耀生物提供
注:产品名称以英文名称为准
|