欢迎光临:莱耀标准品网!
 您的位置:对照品 > 标准品 > 英国药典 >
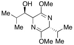
(αR,2S,5R)-2,5-Dihydro-3,6-dimethoxy-α,5-bis(1-methylethyl)-2-pyrazine
产品基本信息
产品编号:D450145
产品名称:(αR,2S,5R)-2,5-Dihydro-3,6-dimethoxy-α,5-bis(1-methylethyl)-2-pyrazine
产品CAS:1620989-93-6
规格含量:1g
产品价格:面议
联系我们:
产品详细介绍
标准品编号: D450145
名称: (αR,2S,5R)-2,5-Dihydro-3,6-dimethoxy-α,5-bis(1-methylethyl)-2-pyrazinemethanol
CAS号: 1620989-93-6
分子式: C₁₃H₂₄N₂O₃
外观: Light Yellow Viscous Oil
分子量: 256.34
溶解性: Chloroform, DCM, Ethyl Acetate, Methanol
种类: Building Blocks; Amino Acids; Enzyme Activators and Inhibitors; Pharmaceutical/API Drug Impurities/Metabolites;
应用: (αR,2S,5R)-2,5-Dihydro-3,6-dimethoxy-α,5-bis(1-methylethyl)-2-pyrazinemethanol is an intermediate in the synthesis of (2S,3R)-β-Hydroxyleucine Hydrochloride (H943745), inhibitor of the growth of gram-positive and gram-negative bacteria and yeasts.
参考文献


2011-2018 信阳莱耀生物科技有限公司 @ 信阳埃尔文生物科技有限公司版权所有

中检所标准品,对照品,标准气体
Keywords: 中检所标准品 对照品 标准气体