尿囊素-13C2,15N4标准品
货号:A540502
英文名称:Allantoin-13C2,15N4
别名:5-Ureidohydantoin-13C2,15N4; (2,5-Dioxo-4-imidazolidinyl)urea-13C2,15N4; Allantol-13C2,15N4; Cordianine-13C2,15N4; Glyoxyldiureid-13C2,15N4; NSC 7606-13C2,15N4; Psoralon-13C2,15N4; Sebical-13C2,15N4; Septalan-13C2,15N4
规格:1mg,10mg
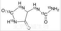
结构式:

CAS号:1219402-51-3
分子式:C213C2H615N4O3
分子量:164.07
产品类别:莱耀生物标准品,莱耀生物提供
注:产品名称以英文名称为准
|