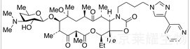
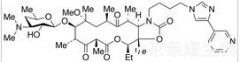
泰利霉素标准品
货号:T016500
英文名称:Telithromycin 90%
别名: (3aS,4R,7R,9R,10R,11R,13R,15R,15aR)-4-Ethyloctahydro-11-methoxy-3a,7,9,11,13,15-hexamethyl-1-[4-[4-(3-pyridinyl)-1H-imidazol-1-yl]butyl]-10-[[3,4,6-trideoxy-3-(dimethylamino)-β-D-xylo-hexopyranosyl]oxy]-2H-oxacyclotetradecino[4,3-d]oxazole-2,6,8,14(1H,7H,9H)tetrone; Ketek;
规格:1mg,10mg
结构式:

CAS号:191114-48-4
分子式:C43H65N5O10
分子量:812
产品类别:莱耀生物标准品,莱耀生物提供
注:产品信息以英文名称为准
|