欢迎光临:莱耀标准品网!
 您的位置:对照品 > 标准品 > 英国药典 >
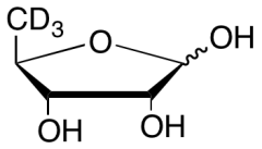
5-Deoxy-D-ribose-d3
产品基本信息
产品编号:D252017
产品名称:5-Deoxy-D-ribose-d3
产品CAS:
规格含量:1mg
产品价格:面议
联系我们:
产品详细介绍
标准品编号: D252017
名称: 5-Deoxy-D-ribose-d3
参考CAS号: Unlabeled: 13039-75-3
分子式: C₅H₇D₃O₄
分子量: 137.15
种类: Building Blocks; Isotopic Labeled Analogues;
应用: 5-Deoxy-D-ribose-d3 is an intermediate used in the synthesis of Biopterin-d3 (B389022), which is a labeled Biopterin. A pteridine widely distributed in nature; naturally occurring as the L-erythro-form. Considered as a growth factor for some insects. Fluoresces with a blue color in alkaline solution.
参考文献


2011-2018 信阳莱耀生物科技有限公司 @ 信阳埃尔文生物科技有限公司版权所有

中检所标准品,对照品,标准气体
Keywords: 中检所标准品 对照品 标准气体