欢迎光临:莱耀标准品网!
 您的位置:对照品 > 标准品 > 英国药典 >
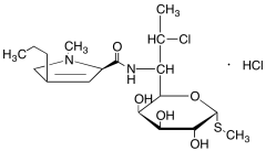
(2R)-Dehydroclindamycin Hydrochloride
产品基本信息
产品编号:D229353
产品名称:(2R)-Dehydroclindamycin Hydrochloride
产品CAS:
规格含量:5mg
产品价格:面议
联系我们:
产品详细介绍
标准品编号: D229353
名称: (2R)-Dehydroclindamycin Hydrochloride
别名: (2R)-N-((1S)-2-chloro-1-((2R,3R,4S,5R,6R)-3,4,5-trihydroxy-6-(methylthio)tetrahydro-2H-pyran-2-yl)propyl)-1-methyl-4-propyl-2,5-dihydro-1H-pyrrole-2-carboxamide Hydrochloride.
分子式: C₁₈H₃₁ClN₂O₅S •HCl
外观: 白色固体
分子量: 422.973646
储存: 冰箱保存
溶解性: Deuterated Water, Methanol
种类: Standards; Carbohydrates and Oligosaccharides;
应用: (2R)-Dehydroclindamycin Hydrochloride is an impurity in the synthesis of Dehydroclindamycin Hydrochloride which is a Clindamycin (C580000) impurity in bulk drug.
参考文献


2011-2018 信阳莱耀生物科技有限公司 @ 信阳埃尔文生物科技有限公司版权所有

中检所标准品,对照品,标准气体
Keywords: 中检所标准品 对照品 标准气体