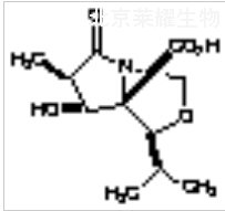
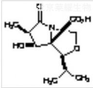
(3R,4S,5S,6S)-1-Aza-5-carboxyl-4-hydroxy-6-isopropyl-3-methyl-7-oxabicyclo[3.3.0]octan-2-one标准品
货号:A795575
别名: [1S-(1α,6α,7α,7aα)]-Dihydro-7-hydroxy-6-methyl-1-(1-methylethyl)-5-oxo-1H,3H-pyrrolo[1,2-c]oxazo
规格:1mg,10mg
结构式:

CAS号: 145451-96-3
分子式:C11H17NO5
外观:White Foam
产品类别:莱耀生物标准品,莱耀生物提供
注:产品信息以英文名称为准
|