欢迎光临:莱耀标准品网!
 您的位置:对照品 > 标准品 > accustandard >
西伯利亚远志糖A5对照品
产品基本信息
产品编号:C22H30O14
产品名称:西伯利亚远志糖A5对照品
产品CAS:107912-97-0
规格含量:20mg
产品价格:1600
联系我们:
产品详细介绍
中文名称 西伯利亚远志糖A5对照品 中文别名 补充中
英文名 Sibiricose A5 英文别名 补充中
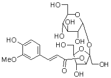
分子式
C22H30O14 分子量 518.47 CAS登录号 107912-97-0
提取来源
远志 化学结构
外观
白色粉末 107912-97-0
NMR,MS
4℃冷藏、密封、避光
2年
鉴别方法
贮存条件
有效期
注意事项
溶解性 易溶于甲醇
测定方法 补充中
药典测定方法 补充中
用途 用于含量测定/鉴定/药理实验等


2011-2018 信阳莱耀生物科技有限公司 @ 信阳埃尔文生物科技有限公司版权所有

中检所标准品,对照品,标准气体
Keywords: 中检所标准品 对照品 标准气体