欢迎光临:莱耀标准品网!
 您的位置:对照品 > 标准品 > accustandard >
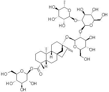
莱苞迪甙C(莱苞迪苷C;瑞鲍迪甙C)对照品
产品基本信息
产品编号:C44H70O22
产品名称:莱苞迪甙C(莱苞迪苷C;瑞鲍迪甙C)对照品
产品CAS:63550-99-2
规格含量:20mg
产品价格:150
联系我们:
产品详细介绍
中文名称 莱苞迪甙C对照品 中文别名 莱苞迪苷C; 瑞鲍迪甙C
英文名 Rebaudioside C 英文别名 补充中
分子式
C44H70O22 分子量 950.44 CAS登录号 63550-99-2
提取来源
菊科植物甜叶菊叶子。 化学结构
外观
补充中 63550-99-2
NMR; MS
4℃冷藏、密封、避光
2年
鉴别方法
贮存条件
有效期
注意事项
溶解性 补充中
测定方法 HPLC法,色谱分离采用Kromasil NH2柱(250×4.6 mm),以V(乙腈):V(水)=80:20为流动相,乙酸调整pH5。紫外检测器:210nm。外标法定量。
药典测定方法 补充中
用途 用于含量测定/鉴定/药理实验等


2011-2018 信阳莱耀生物科技有限公司 @ 信阳埃尔文生物科技有限公司版权所有

中检所标准品,对照品,标准气体
Keywords: 中检所标准品 对照品 标准气体