您的位置:对照品 > 标准品 > accustandard > |
|
|
|
| 产品基本信息 |
|
| 产品编号:C20H27NO11 |
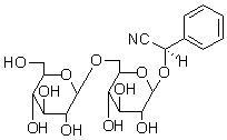
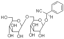
| 产品名称:苦杏仁苷(扁桃苷)对照品 |
| 产品CAS:29883-15-6 |
| 规格含量:20mg |
| 产品价格:100 |
| 联系我们: |
|
|
|
|
|
| 产品详细介绍 |
|
中文名称 |
苦杏仁苷对照品 |
中文别名 |
扁桃苷 |
|
英文名 |
Amygdalin |
英文别名 |
Nitrilosides |
|
分子式 |
|
C20H27NO11 |
分子量 |
457.43 |
CAS登录号 |
29883-15-6 |
|
|
提取来源 |
|
|
外观 |
|
斜方柱状结晶 |
 |
|
NMR; MS |
|
4℃冷藏、密封、避光 |
|
2年 |
|
无 |
|
|
鉴别方法 |
|
贮存条件 |
|
有效期 |
|
注意事项 |
|
溶解性 |
易溶于沸水,几乎不溶于乙醚。 |
|
测定方法 |
色谱柱Irregular HC18(4.6mm×250nm,10μm),流动相为磷酸盐缓冲液(pH5.0)-甲醇(800:200),流速1.0mL.min-1,检测波长210nm,柱温25℃。 |
|
药典测定方法 |
补充中 |
|
用途 |
用于含量测定/鉴定/药理实验等 |
|
|
|
|
|