欢迎光临:莱耀标准品网!
 您的位置:对照品 > 标准品 >
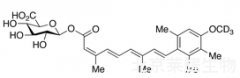
13-cis Acitretin-d3 O-β-D-Glucuronide
产品基本信息
产品编号:A189932
产品名称:13-cis Acitretin-d3 O-β-D-Glucuronide
产品CAS:
规格含量:0.5mg
产品价格:6000元
联系我们:
产品详细介绍

  13-cis Acitretin-d3 O-β-D-Glucuronide标准品

  货号:A189932
  英文名称:13-cis Acitretin-d3 O-β-D-Glucuronide
  别名: (Z,E,E,E)-1-[9-[4-(Methoxy-d3)-2,3,6-trimethylphenyl]-3,7-dimethyl-2,4,6,8-nonatetraenoate] β-D-Glucopyranuronic Acid; Isoacitretin-d3 Glucuronide;
  规格:0.5mg
  结构图:
标准品
  分子式:C₂₇H₃₁D₃O₉
  分子量:505.57
  产品类别:标准对照品,北京莱耀生物提供
  注:产品名称以英文名称为准


2011-2018 信阳莱耀生物科技有限公司 @ 信阳埃尔文生物科技有限公司版权所有

中检所标准品,对照品,标准气体
Keywords: 中检所标准品 对照品 标准气体