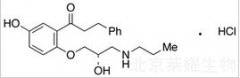
(S)-5-羟基盐酸普罗帕酮标准品
货号:H952460
英文名称: (S)-5-Hydroxy Propafenone Hydrochloride
别名: (S)-1-[5-Hydroxy-2-[2-hydroxy-3-(propylamino)propoxy]phenyl]-3-phenyl-1-propanone Hydrochloride; Lu 49910;
规格:1mg,10mg
结构图:

CAS号:158080-71-8
分子式:C21H28ClNO4
分子量:393.9
产品类别:标准对照品,北京莱耀生物提供
注:产品名称以英文名称为准
|