3’-Des(dimethylamino)-3’-keto Azithromycin标准品
货号:D288910
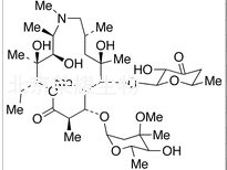
英文名称:3’-Des(dimethylamino)-3’-keto Azithromycin
别名: (2R,3S,4R,5R,8R,10R,11R,12S,13S,14R)-11-[[4,6-dideoxy-β-D-erythro-hexopyranos-3-ulos-1-yl]oxy]-13-[(2,6-dideoxy-3-C-methyl-3-O-methyl-α-L-ribo-hexopyranosyl)oxy]-2-ethyl-3,4,10-trihydroxy-3,5,6,8,10,12,14-heptamethyl-1-oxa-6-azacyclopentadecan-15-one; 3’-De(dimethylamino)-3’-oxoazithromycin;
规格:10mg,25mg
结构图:

CAS号:612069-25-7
分子式:C36H65NO13
分子量:719.9
产品类别:标准对照品,北京莱耀生物提供
注:产品名称以英文名称为准
|