欢迎光临:莱耀标准品网!
 您的位置:对照品 > 标准品 >
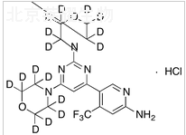
NVP-BKM 120-d16 Hydrochloride
产品基本信息
产品编号:N925763
产品名称:NVP-BKM 120-d16 Hydrochloride
产品CAS:
规格含量:1mg,10mg
产品价格:2700元,21000元
联系我们:
产品详细介绍

  NVP-BKM 120-d16 Hydrochloride标准品

  货号:N925763
  英文名称:NVP-BKM 120-d16 Hydrochloride
  别名:BKM 120-d16 Hydrochloride; Buparlisib-d16 Hydrochloride; 5-(2,6-di-4-Morpholinyl-4-pyrimidinyl)-d16 -4-(trifluoromethyl)-2-pyridinamine Hydrochloride
  规格:1mg,10mg
  结构式:
标准品
  分子式:C18H6D16ClF3N6O2
  分子量:462.95
  产品类别:莱耀生物标准品,北京莱耀生物提供
  注:产品名称以英文名称为准


2011-2018 信阳莱耀生物科技有限公司 @ 信阳埃尔文生物科技有限公司版权所有

中检所标准品,对照品,标准气体
Keywords: 中检所标准品 对照品 标准气体