欢迎光临:莱耀标准品网!
 您的位置:对照品 > 标准物质 > 质控品 >
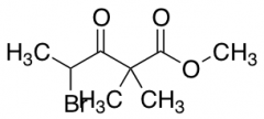
methyl 4-bromo-2,2-dimethyl-3-oxopentanoate
产品基本信息
产品编号:M294583
产品名称:methyl 4-bromo-2,2-dimethyl-3-oxopentanoate
产品CAS:1392512-58-1
规格含量:50mg
产品价格:面议
联系我们:
产品详细介绍
标准品编号: M294583
名称: methyl 4-bromo-2,2-dimethyl-3-oxopentanoate
CAS号: 1392512-58-1
分子式: C₈H₁₃O₃Br
分子量: 237.09
种类: Building Blocks; Miscellaneous;
应用: methyl 4-bromo-2,2-dimethyl-3-oxopentanoate (cas# 1392512-58-1) is a useful research chemical.
参考文献


2011-2018 信阳莱耀生物科技有限公司 版权所有

中检所标准品,对照品,标准气体
Keywords: 中检所标准品 对照品 标准气体