您的位置:对照品 > 标准物质 > 质控品 > |
|
|
|
| 产品基本信息 |
|
| 产品编号:M107490 |
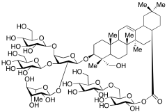
| 产品名称:Macranthoidin B |
| 产品CAS:136849-88-2 |
| 规格含量:50 mg |
| 产品价格:面议 |
| 联系我们: |
|
|
|
|
|
| 产品详细介绍 |
| 标准品编号: |
M107490 |
| 名称: |
Macranthoidin B |
| 别名: |
3-[(O-β-D-Glucopyranosyl-(1→4)-O-β-D-glucopyranosyl-(1→3)-O-6-deoxy-α-L-mannopyranosyl-(1→2)-α-L-arabinopyranosyl)oxy]-23-hydroxy-olean-12-en-28-oic Acid 6-O-β-D-glucopyranosyl-β-D-glucopyranosyl ester, (3β,4α)-; Macranthoiside I; |
| CAS号: |
136849-88-2 |
| 分子式: |
C₆₅H₁₀₆O₃₂ |
| 分子量: |
1399.52 |
| 种类: |
Standards; Pharmaceutical/API Drug Impurities/Metabolites; |
| 应用: |
Macranthoidin B is a bioactive triterpenoid saponin isolated from the flower Flos Lonicerae and may be used in the treatment of inflammatory diseases. |
| 参考文献 |
|
|
|
|
|
|