欢迎光临:莱耀标准品网!
 您的位置:对照品 > 标准物质 > 质控品 >
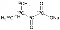
Alpha-Ketoisovaleric Acid, Sodium Salt (13C5, 98%)
产品基本信息
产品编号:K548330
产品名称:Alpha-Ketoisovaleric Acid, Sodium Salt (13C5, 98%)
产品CAS:1173018-24-0
规格含量:400mg
产品价格:面议
联系我们:
产品详细介绍
标准品编号: K548330
名称: Alpha-Ketoisovaleric Acid, Sodium Salt (13C5, 98%)
CAS号: 1173018-24-0
分子式: C₅H₇NaO₃
分子量: 143.06
种类: Building Blocks; Miscellaneous;
应用: Alpha-Ketoisovaleric Acid, Sodium Salt (13c5, 98%) (cas# 1173018-24-0) is a useful research chemical.
参考文献


2011-2018 信阳莱耀生物科技有限公司 版权所有

中检所标准品,对照品,标准气体
Keywords: 中检所标准品 对照品 标准气体