您的位置:对照品 > 标准物质 > 质控品 > |
|
|
|
| 产品基本信息 |
|
| 产品编号:I917580 |
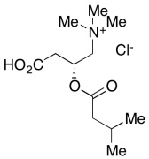
| 产品名称:Isovaleryl L-Carnitine Chloride |
| 产品CAS:139144-12-0 |
| 规格含量:100mg |
| 产品价格:面议 |
| 联系我们: |
|
|
|
|
|
| 产品详细介绍 |
| 标准品编号: |
I917580 |
| 名称: |
Isovaleryl L-Carnitine Chloride |
| 别名: |
(2R)-3-Carboxy-N,N,N-trimethyl-2-(3-methyl-1-oxobutoxy)-1-propanaminium Chloride; (R)-3-Carboxy-N,N,N-trimethyl-2-(3-methyl-1-oxobutoxy)-1-propanaminium Chloride; ST 551 |
| CAS号: |
139144-12-0 |
| 分子式: |
C₁₂H₂₄ClNO₄ |
| 外观: |
白色至白色固体 |
| 熔点: |
>160°C (dec.) |
| 分子量: |
281.78 |
| 储存: |
Hygroscopic, -20°C Freezer, Under inert atmosphere |
| 溶解度: |
Methanol (Slightly), Water (Slightly, Heated) |
| 种类: |
Building Blocks; Miscellaneous; |
| 应用: |
Isovaleryl L-Carnitine Chloride is used to prepare carnitine benzyl esters as neuroprotectant prodrugs. |
| 参考文献 |
|
|
|
|
|
|
|
|