您的位置:对照品 > 标准物质 > 质控品 > |
|
|
|
| 产品基本信息 |
|
| 产品编号:I495503 |
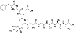
| 产品名称:IMPA-Nonapeptide |
| 产品CAS:1867168-99-7 |
| 规格含量:2.5mg |
| 产品价格:面议 |
| 联系我们: |
|
|
|
|
|
| 产品详细介绍 |
| 标准品编号: |
I495503 |
| 名称: |
IMPVIP(LA)Nonapeptide |
| 别名: |
L-Phenylalanylglycyl-L-α-glutamyl-O-(hydroxyisopylphosphinyl)-L-seryl-L-alanylglycyl-L-alanyl-L-alanyl-L-serine |
| CAS号: |
1867168-99-7 |
| 分子式: |
C₃₇H₅₈N₉O₁₆P |
| 分子量: |
915.88 |
| 种类: |
Research Tools; Molecular Biology; Amino Acids/Peptides; |
| 应用: |
IMPVIP(LA)Nonapeptide was used for determination of protein adducts of organophosphorus nerve agents in blood plasma. |
| 参考文献 |
|
|
|
|
|
|