您的位置:对照品 > 标准物质 > 质控品 > |
|
|
|
| 产品基本信息 |
|
| 产品编号:G779900 |
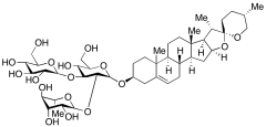
| 产品名称:Gracillin |
| 产品CAS:19083-00-2 |
| 规格含量:50 mg |
| 产品价格:面议 |
| 联系我们: |
|
|
|
|
|
| 产品详细介绍 |
| 标准品编号: |
G779900 |
| 名称: |
Gracillin |
| 别名: |
25(R)-Diosgenin 3-O-β-D-glucopyranosyl-(1→3)-[α-L-rhamnopyranosyl-(1→2)]-β-D-glucopyranoside; Diosgenin 3-O-(α-L-rhamnopyranosyl(1→2)-[β-D-glucopyranosyl(1→3)])-β-D-glucopyranoside; Diosgenin 3-O-β-gracillimatrioside; Dulcamarin C; Gracilline; Lilioglycoside G; NSC 698787 |
| CAS号: |
19083-00-2 |
| 分子式: |
C₄₅H₇₂O₁₇ |
| 分子量: |
885.04 |
| 种类: |
Standards; Pharmaceutical/API Drug Impurities/Metabolites; Steroids; |
| 应用: |
Gracillin is a steroidal glycoside from the rhizomes of the family Dioscoreaceae with potential anti-proliferative effects. |
| 参考文献 |
|
|
|
|
|
|