您的位置:对照品 > 标准物质 > 质控品 > |
|
|
|
| 产品基本信息 |
|
| 产品编号:G596830 |
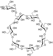
| 产品名称:6-O-α-D-Glucosyl-β-cyclodextrin |
| 产品CAS:92517-02-7 |
| 规格含量:25mg |
| 产品价格:面议 |
| 联系我们: |
|
|
|
|
|
| 产品详细介绍 |
| 标准品编号: |
G596830 |
| 名称: |
6-O-α-D-Glucosyl-β-cyclodextrin |
| 别名: |
2,4,7,9,12,14,17,19,22,24,27,29,32,34-Tetradecaoxaoctacyclo[31.2.2.23,6.28,11.213,16.218,21.223,26.228,31]nonatetracontane β-Cyclodextrin deriv.; O-α-D-Glucopyranosyl-(1→6A)-β-cyclodextrin |
| CAS号: |
92517-02-7 |
| 分子式: |
C₄₈H₈₀O₄₀ |
| 外观: |
白色固体 |
| 熔点: |
>238°C (dec.) |
| 分子量: |
1297.12 |
| 储存: |
冰箱 |
| 溶解度: |
Water (Slightly) |
| 种类: |
Standards; Pharmaceutical/API Drug Impurities/Metabolites; Carbohydrates and Oligosaccharides; |
| 应用: |
6-O-α-D-Glucosyl-β-cyclodextrin is an additive to improve the solubility of quetiapine. |
| 参考文献 |
|
|
|
|
|
|