您的位置:对照品 > 标准物质 > 质控品 > |
|
|
|
| 产品基本信息 |
|
| 产品编号:E658505 |
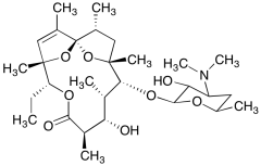
| 产品名称:Erythralosamine |
| 产品CAS:546-57-6 |
| 规格含量:50mg |
| 产品价格:面议 |
| 联系我们: |
|
|
|
|
|
| 产品详细介绍 |
| 标准品编号: |
E658505 |
| 名称: |
Erythralosamine |
| 别名: |
3-O-De(2,6-dideoxy-3-C-methyl-3-O-methyl-α-L-ribo-hexopyranosyl)-10,11-didehydro-9-deoxo-6,11,12-trideoxy-6,9:9,12-diepoxy-erythromycin; 6,15,16-Trioxatricyclo[10.2.1.11,4]hexadecane Erythromycin Derivative; |
| CAS号: |
546-57-6 |
| 分子式: |
C₂₉H₄₉NO₈ |
| 外观: |
白色至淡黄色固体 |
| 熔点: |
200-202°C |
| 分子量: |
539.7 |
| 储存: |
Hygroscopic, -20°C Freezer, Under inert atmosphere |
| 溶解度: |
Chloroform (Slightly), Methanol (Slightly) |
| 种类: |
Standards; Others; Pharmaceutical/API Drug Impurities/Metabolites; Antibotics; |
| 应用: |
Erythralosamine is a derivative of Erythromycin (E649950). Erythromycin is an antibiotic and a contaminant of emerging concern (CECs). |
| 参考文献 |
|
|
|
|
|
|