欢迎光临:莱耀标准品网!
 您的位置:对照品 > 标准物质 > 质控品 >
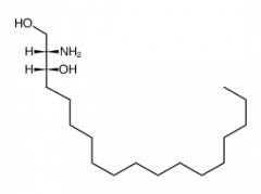
DL-threo-Dihydrosphingosine
产品基本信息
产品编号:D689955
产品名称:DL-threo-Dihydrosphingosine
产品CAS:73938-69-9
规格含量:25mg
产品价格:面议
联系我们:
产品详细介绍
标准品编号: D689955
名称: DL-threo-Dihydrosphingosine
CAS号: 73938-69-9
分子式: C₁₈H₃₉NO₂
分子量: 301.51
种类: Research Tools; Standards; Molecular Biology; Enzyme Activators and Inhibitors; Lipids/Fatty Acids, Glycerol Derivatives;
应用: DL-threo-Dihydrosphingosine is a potent inhibitor of sphingosine kinase activity.
参考文献


2011-2018 信阳莱耀生物科技有限公司 版权所有

中检所标准品,对照品,标准气体
Keywords: 中检所标准品 对照品 标准气体