您的位置:对照品 > 标准物质 > 质控品 > |
|
|
|
| 产品基本信息 |
|
| 产品编号:D443486 |
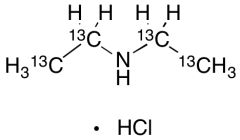
| 产品名称:Diethylamine-13C4 Hydrochloride |
| 产品CAS: |
| 规格含量:2mg |
| 产品价格:面议 |
| 联系我们: |
|
|
|
|
|
| 产品详细介绍 |
| 标准品编号: |
D443486 |
| 名称: |
Diethylamine-13C4 Hydrochloride |
| 别名: |
N-Ethylethanamine-13C4 Hydrochloride; DEVIP(LA)13C4 Hydrochloride; N,N-Diethylamine-13C4 Hydrochloride |
| 参考CAS号: |
Unlabelled free amine: 109-89-7 |
| 分子式: |
¹³C₄H₁₂ClN |
| 外观: |
白色固体 |
| 熔点: |
>160°C (dec.) |
| 分子量: |
113.57 |
| 储存: |
冰箱保存 |
| 溶解性: |
DMSO (Slightly), Methanol (Slightly) |
| 种类: |
Building Blocks; Isotopic Labeled Analogues; |
| 应用: |
Diethylamine-13C4 Hydrochloride is the labelled salt of Diethylamine (D443485). |
| 参考文献 |
|
|
|
|
|
|
|
|