您的位置:对照品 > 标准物质 > 质控品 > |
|
|
|
| 产品基本信息 |
|
| 产品编号:D229350 |
| 产品名称:Dehydroclindamycin Hydrochloride |
| 产品CAS: |
| 规格含量:2.5mg |
| 产品价格:面议 |
| 联系我们: |
|
|
|
|
|
| 产品详细介绍 |
| 标准品编号: |
D229350 |
| 名称: |
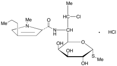
Dehydroclindamycin Hydrochloride |
| 别名: |
Methyl 7-Chloro-6,7,8-trideoxy-6-[[[(2S)-2,5-dihydro-1-methyl-4-propyl-1H-pyrrol-2-yl]carbonyl]amino]-1-thio-L-threo-α-D-galactooctopyranoside Hydrochloride |
| 参考CAS号: |
Free base: 909032-77-5 |
| 分子式: |
C₁₈H₃₂Cl₂N₂O₅S |
| 外观: |
白色至Yellow Solid |
| 熔点: |
>139°C (dec.) |
| 分子量: |
459.43 |
| 储存: |
Hygroscopic, -20°C Freezer, Under inert atmosphere |
| 溶解性: |
Methanol (Slightly), Water (Slightly, Heated) |
| 稳定性: |
Hygroscopic |
| 种类: |
Standards; Pharmaceutical/API Drug Impurities/Metabolites; Carbohydrates and Oligosaccharides; |
| 应用: |
Clindamycin (C580000) impurity in bulk drug. |
| 参考文献 |
|
|
|
|
|
|