您的位置:对照品 > 标准物质 > 铁标准物质 > |
|
|
|
| 产品基本信息 |
|
| 产品编号:C58H98O26 |
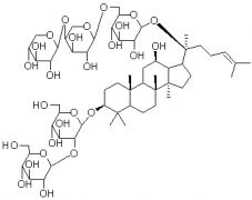
| 产品名称:人参皂苷Ra1 |
| 产品CAS:83459-41-0 |
| 规格含量:20mg |
| 产品价格:面议 |
| 联系我们: |
|
|
|
|
|
| 产品详细介绍 |
|
中文名称
|
人参皂苷Ra1
|
中文别名
|
补充中
|
|
英文名
|
Ginsenoside Ra1
|
英文别名
|
补充中
|
|
分子式
|
|
C58H98O26
|
分子量
|
1211.38
|
CAS登录号
|
83459-41-0
|
|
|
提取来源
|
|
|
外观
|
|
白色粉末
|
|
|
NMR,MS
|
|
4℃冷藏、密封、避光
|
|
2年
|
|
无
|
|
|
鉴别方法
|
|
贮存条件
|
|
有效期
|
|
注意事项
|
|
溶解性
|
溶于甲醇、DMSO,微溶于水
|
|
测定方法
|
洗脱剂:乙腈/水=35/65 色谱柱:依利特Sinachrom ODS BP, 5um,250*4.6mm 柱温:35°C
|
|
药典测定方法
|
补充中
|
|
用途
|
用于含量测定/鉴定/药理实验等
|
|
|
|
|
|