您的位置:对照品 > 标准物质 > 铁标准物质 > |
|
|
|
| 产品基本信息 |
|
| 产品编号:M165100 |
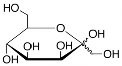
| 产品名称:D-Mannoheptulose |
| 产品CAS:3615-44-9 |
| 规格含量:10mg |
| 产品价格:面议 |
| 联系我们: |
|
|
|
|
|
| 产品详细介绍 |
| 标准品编号: |
M165100 |
| 名称: |
D-Mannoheptulose |
| 别名: |
D-Manno-2-heptulose; (+)-Mannoheptulose; NSC 226836; |
| CAS号: |
3615-44-9 |
| 分子式: |
C₇H₁₄O₇ |
| 外观: |
白色至白色固体 |
| 熔点: |
144 - 147°C |
| 分子量: |
210.18 |
| 储存: |
冰箱 |
| 溶解度: |
Methanol (Slightly), Water (Slightly) |
| 种类: |
Standards; Pharmaceutical/API Drug Impurities/Metabolites; Carbohydrates and Oligosaccharides; |
| 应用: |
Mannoheptulose occurs naturally in avocado fruit. It is used for normalizing insulin levels and reducing weight. |
| 参考文献 |
|
|
|
|
|
|
|
|