您的位置:对照品 > 标准物质 > 铁标准物质 > |
|
|
|
| 产品基本信息 |
|
| 产品编号:L490000 |
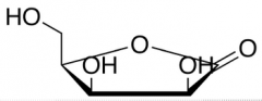
| 产品名称:D-Lyxono-1,4-lactone |
| 产品CAS:15384-34-6 |
| 规格含量:2.5g |
| 产品价格:面议 |
| 联系我们: |
|
|
|
|
|
| 产品详细介绍 |
| 标准品编号: |
L490000 |
| 名称: |
D-Lyxono-1,4-lactone |
| 别名: |
D-Lyxonic Acid γ-Lactone; |
| CAS号: |
15384-34-6 |
| 分子式: |
C₅H₈O₅ |
| 外观: |
白色至白色固体 |
| 熔点: |
105 - 109°C |
| 分子量: |
148.11 |
| 储存: |
-20°C Freezer |
| 溶解度: |
Methanol (Slightly), Water (Slightly) |
| 种类: |
Research Tools; Carbohydrates; Molecular Biology; Enzyme Activators and Inhibitors; |
| 应用: |
D-Lyxono-1,4-lactone is used for synthesis of 1,4-dideoxy-1,4-imino-L-arabinitol, a glucosidase inhibitor with in vitro antiviral activity. |
| 参考文献 |
|
|
|
|
|
|
|
|